
Service Support
2022-10-18
关键词:扫描隧道显微镜 锁相放大器 超导薄膜
【概述】
2017 年,上海交通大学贾金锋与刘灿华在Review of scientific instruments 发表了一篇题为《Development of in situ two-coil mutual inductance technique in a multifunctional scanning tunneling microscope》文章,报道了多功能扫描隧道显微镜中原位双线圈互感技术的研制。

图1. 两线圈互感器示意图电感测量 (a)传输型 (b)反射型.
黄色和蓝色箭头分别表示样品处于正常和超导状态时驱动线圈发出的磁力线
文章基于多功能扫描隧道显微镜(MSTM)开发了双线圈互感装置,它不仅能实现通常的扫描隧道显微镜的功能,而且还能实现原位四点探针(4PP)的电气功能。利用自行设计的四电极压电扫描管进行传输测量。可以在不损坏超导薄膜样品的前提下为样本进行所有数据的测量采集,有了这一技术,就可以在一个单独的特高压室中通过测量不同温度(≥ 320 mK)和高磁场(≤ 11 T)下超导薄膜的电学和抗磁性能,对超导薄膜的进行系统性的研究。
【样品 & 测试】
互感测量电路如图2(a)所示。驱动和检测线圈使用同轴屏蔽电缆连接到Keithley 6221电流源和OE1022锁相放大器(赛恩科仪)。整个测量系统的噪声水平低于 10 nV。Lakeshore 350控制器通过调节样品台附近的加热器输出功率来改变样品温度。利用Cryogenic SMS 100控制器在垂直于样品表面的方向上产生高达11 T的磁场,PC端控制软件采用LabView 2011编写。集成了参数配置、数据采集、温度控制、磁场控制自动测量等功能。
图2互感测量装置
图 2(b) 显示了互感测量装置的等效电路。 10 kΩ 的负载电阻 R 与驱动线圈串联,以稳定小于 200 µA 的励磁电流的相位。 M代表驱动线圈和拾波线圈之间的互感。 Rd和Rp 分别代表驱动器的电阻和检测线圈的电阻。 在室温下的透射(反射)型设置中,Rd 和 Rp分别约为 20 Ω (40 Ω) 和 5 Ω (7 Ω)。 施加到驱动线圈的电压信号也作为输入到锁相放大器REF IN作为外部参考信号。检测线圈的输出与参考信号之间的所需相位差为90°。 然而,由于驱动线圈和检测线圈之间的寄生电容 C,会发生虚假相移,实际相位差测量为 90° ± 5°

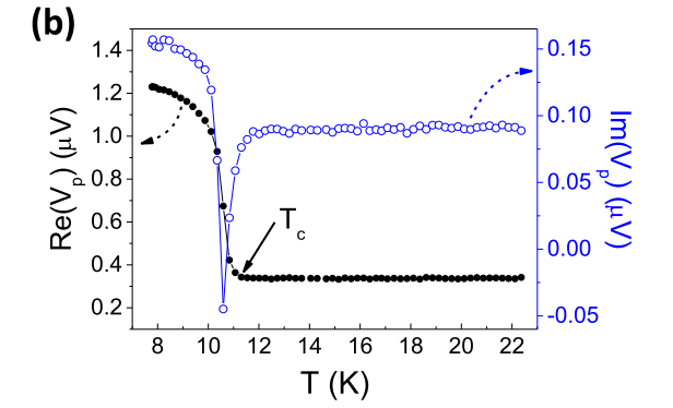
图3 (a) 传输型的互感测量结果(b) 反射型配置。

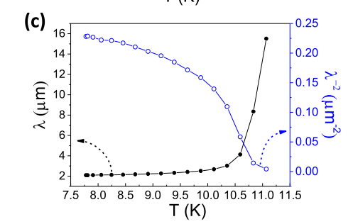
图3(c) 磁穿透深度 λ 和从反射型测量中提取的超流体密度 ns / λ-2结果。弯曲的箭头表示每个对应的 Y 轴位置数据集
在透射型和反射型配置中,测得的 V-p 作为温度的函数分别显示在图. 3(a) 和 3(b)。 两者都揭示了在 Tc ∼ 11 K 时显著的超导转变,由 Vp(T) 曲线的实部表示。 在每条 Vp(T) 曲线的虚部中峰值(透射型)或凹陷(反射型)可能与能量耗散有关,这是因为先前研究中提出的涡流反涡流解绑机制。这就是印证NbN 薄膜中存在Kosterlitz-Thouless转变机制。
【总结】
综上所述,作者设计开发了多功能扫描隧道显微镜(MSTM)的双线圈互感装置,该装置在压电扫描管上有四个电极。设计的系统能够有效地测量超导薄膜的抗磁响应以及 STM 和 4PP 电传输测量。双线圈互感测量的性能在 Nb 掺杂 SrTiO3 衬底上生长的 10 nm 厚 NbN 薄膜上的实验得到验证,NbN 薄膜在11 K时出现明显的超导转变。 可研究新型低维材料的本征超导性。被广泛应用于研究超薄超导薄膜方面。
在该实验系统中,赛恩科仪的锁相放大器是微弱电信号检测有力工具,为客户在扫描隧道显微镜测量中提供了稳定、有效的实验手段,为该领域研究的快速进展提供了有力的保障。
【参考文献】
【其他文献】
【推荐产品】
【赛恩产品优势】
赛恩科仪锁相放大器性能稳定、收敛速度及在小量程的测量性能都明显优于某国际知名品牌锁相放大器。
永乐网站下载 18191064665作为专业的电测仪器供应商,为您提供良好产品及技术支持的同时,更加关注您的设备是否正确使用和保养。因为正确的使用方法可以让您每一次测试都能得到更加精准的测试结果,正确的保养可以让您的工作伙伴为您服务更长,做出更多贡献。